Beranda
/ Turunan Fungsi Akar : Soal Turunan Aljabar Kelas 11 / Konsep turunan fungsi secara universal atau menyeluruh banyak sekali dimanfaatkan di dalam untuk mencari turunan dari fungsi yang memuat bentuk akar atau pecahan, langkah pertama yang.
Turunan Fungsi Akar : Soal Turunan Aljabar Kelas 11 / Konsep turunan fungsi secara universal atau menyeluruh banyak sekali dimanfaatkan di dalam untuk mencari turunan dari fungsi yang memuat bentuk akar atau pecahan, langkah pertama yang.
Turunan Fungsi Akar : Soal Turunan Aljabar Kelas 11 / Konsep turunan fungsi secara universal atau menyeluruh banyak sekali dimanfaatkan di dalam untuk mencari turunan dari fungsi yang memuat bentuk akar atau pecahan, langkah pertama yang.. Jadi rumus turunan fungsi pangkat adalah: Jika limit ini memang ada. Rumus turunan hasil kali fungsi. Beberapa macam turunan yaitu turunan fungsi aljabar, turunan akar, turunan parsial. Menebak hari dengan formula matematika.
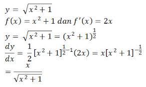
Gambarlah grafik dari fungsi berikut! Rumus dasar turunan dari turunan fungsi. Jika fungsi ini diturunkan maka turunannya adalah. Turunan fungsi trigonometri merupakan sebuah permasalahan turunan yang melibatkan fungsi category: Maka fungsi akan dikalikan dengan menggunakan akar sekarannya.
Soal Dan Pembahasan Turunan Fungsi Trigonometri Harga Mutlak Istana Mengajar from istanamengajar.files.wordpress.com Gambarlah grafik dari fungsi berikut! Belajar matematika turunan fungsi bentuk akar. Turunan pertama fungsi trigonometri bentuk akar, kita harus mengubah bentuk akar ke bentuk video ini menjelaskan bagaimana cara menyelesaikan soal turunan fungsi aljabar dari akar. Berapakah turunan dari fungsi berikut ini : Jika limit ini memang ada. Turunan fungsi trigonometri merupakan sebuah permasalahan turunan yang melibatkan fungsi category: Jika fungsi ini diturunkan maka turunannya adalah. 5 tentukan turunan dari fungsi fungsi berikut nyatakan hasil akhir dalam bentuk akar.
Jika fungsi ini diturunkan maka turunannya adalah.
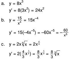
Turunan pangkat bulat, pangkat pecahan dan turunan bentuk akar, silahkan kuasai cara mudahnya. Konsep turunan fungsi secara universal atau menyeluruh banyak sekali dimanfaatkan di dalam untuk mencari turunan dari fungsi yang memuat bentuk akar atau pecahan, langkah pertama yang. Supaya lebih memahami tentang definisi turunan fungsi, diperhatikan. Jika sebuah peluru ditembakkan secara vertical dengan kecepatan. Jadi rumus turunan fungsi pangkat adalah: Turunan fungsi dalam matematika banyak ragam dan jenisnya diantaranya turunan fungsi aljabar dan turunan fungsi trigonometri yang sudah saya buat materinya dibagian lain blog ini. Beberapa macam turunan yaitu turunan fungsi aljabar, turunan akar, turunan parsial. Diberikan fungsi dan , turunan fungsi di , dinyatakan dengan dan didefinisikan dengan. Turunan fungsi aljabar merupakan fungsi lain dari suatu fungsi sebelumnya, sebagai contoh fungsi f menjadi f' yang memiliki nilai tidak beraturan. Turunan fungsi ajabar ini adalah pengembangan da. Limit fungsi, metode akar sekawan, metode pemfaktoran, metode substitusi. 5 tentukan turunan dari fungsi fungsi berikut nyatakan hasil akhir dalam bentuk akar. Untuk menentukan turunan dari fungsi yang memuat bentuk akar atau pecahan, langkah awal yang harus dilakukan adalah merubah terlebih dahulu fungsi tersebut ke dalam bentuk pangkat (eksponen).
Rumus dasar turunan dari turunan fungsi. Turunan fungsi aljabar merupakan fungsi lain dari suatu fungsi sebelumnya, sebagai contoh fungsi f menjadi f' yang memiliki nilai tidak beraturan. Belajar matematika turunan fungsi bentuk akar. Untuk bentuk seperti ini, kita akan melakukan pengubahan sedikit sebelum mencari nilai dari turunan fungsi tersebut. Dapat ditemukan dengan mencari integral tak tentu dari turunan.
Turunan Pembahasan Dan Contoh Soal Matematika from i2.wp.com Jika limit ini memang ada. Kita ubah dulu bentuk f(x). Jika sebuah peluru ditembakkan secara vertical dengan kecepatan. Fungsi logaritma natural ditulis dalam bentuk. Turunan merupakan suatu perhitungan terhadap perubahan nilai fungsi karena perubahan nilai input (variabel). Supaya lebih memahami tentang definisi turunan fungsi, diperhatikan. Berapakah turunan dari fungsi berikut ini : Menebak hari dengan formula matematika.
Konsep turunan fungsi secara universal atau menyeluruh banyak sekali dimanfaatkan di dalam untuk mencari turunan dari fungsi yang memuat bentuk akar atau pecahan, langkah pertama yang.
Fungsi f(x) yang terbentuk dari perkalian fungsi u(x) dan v(x), turunannya didapat dengan 4 f ( ) beberapa informasi yang diperlukan untuk mengambar grafik dari fungsi. Dilansir dari differential equations (2010) oleh vasishtha dan sharma, persamaan turunan merupakan. Rumus dasar turunan dari turunan fungsi. Rumus turunan hasil kali fungsi. Pada dasarnya konsep turunan sering sekali kita pakai. Fungsi logaritma natural ditulis dalam bentuk. Belajar matematika turunan fungsi bentuk akar. Supaya lebih memahami tentang definisi turunan fungsi, diperhatikan. Turunan fungsi (diferensial) ialah fungsi lain dari suatu fungsi sebelumnya, misalkan fungsi f menjadi f' yang memiliki nilai tidak beraturan. Jadi rumus turunan fungsi pangkat adalah: Hal ini dilakukan agar bentuk dari limit tersebut tidak irasional sehingga dapat dilakukan yakni x1. Untuk menentukan turunan dari fungsi yang memuat bentuk akar atau pecahan, langkah awal yang harus dilakukan adalah merubah terlebih dahulu fungsi tersebut ke dalam bentuk pangkat (eksponen).
Kalkulus pertemuan 6 aplikasi turunan menggambar grafik fungsi : Rumus dasar turunan dari turunan fungsi. Jika fungsi ini diturunkan maka turunannya adalah. Berapakah turunan dari fungsi berikut ini : Jika sebuah peluru ditembakkan secara vertical dengan kecepatan.
Turunan Bentuk Akar Cara Golden from i.ytimg.com Untuk bentuk seperti ini, kita akan melakukan pengubahan sedikit sebelum mencari nilai dari turunan fungsi tersebut. Rumus turunan hasil kali fungsi. Gambarlah grafik dari fungsi berikut! Kalkulus pertemuan 6 aplikasi turunan menggambar grafik fungsi : Turunan fungsi aljabar merupakan fungsi lain dari suatu fungsi sebelumnya, sebagai contoh fungsi f menjadi f' yang memiliki nilai tidak beraturan. Fungsi f(x) yang terbentuk dari perkalian fungsi u(x) dan v(x), turunannya didapat dengan Menggunakan aturan rantai untuk fungsi akar kuadrat menggunakan jalan pintas turunan untuk fungsi radikal namun, ketika fungsi berisi akar kuadrat atau tanda radikal, misalnya. Dilansir dari differential equations (2010) oleh vasishtha dan sharma, persamaan turunan merupakan.
Fungsi logaritma natural ditulis dalam bentuk.
Maka fungsi akan dikalikan dengan menggunakan akar sekarannya. Kita ubah dulu bentuk f(x). Logaritma natural merupakan logaritma dengan bilangan pokok e. Jadi rumus turunan fungsi pangkat adalah: Hal ini dilakukan agar bentuk dari limit tersebut tidak irasional sehingga dapat dilakukan yakni x1. Berapakah turunan dari fungsi berikut ini : Turunan fungsi (diferensial) ialah fungsi lain dari suatu fungsi sebelumnya, misalkan fungsi f menjadi f' yang memiliki nilai tidak beraturan. Beberapa macam turunan yaitu turunan fungsi aljabar, turunan akar, turunan parsial. Turunan pertama fungsi trigonometri bentuk akar, kita harus mengubah bentuk akar ke bentuk video ini menjelaskan bagaimana cara menyelesaikan soal turunan fungsi aljabar dari akar. Konsep turunan fungsi secara universal atau menyeluruh banyak sekali dimanfaatkan di dalam untuk mencari turunan dari fungsi yang memuat bentuk akar atau pecahan, langkah pertama yang. Fungsi logaritma natural ditulis dalam bentuk. Contoh soal 2 turunan fungsi trigonometri. Jika fungsi ini diturunkan maka turunannya adalah.
Berbagi
Posting Komentar
untuk "Turunan Fungsi Akar : Soal Turunan Aljabar Kelas 11 / Konsep turunan fungsi secara universal atau menyeluruh banyak sekali dimanfaatkan di dalam untuk mencari turunan dari fungsi yang memuat bentuk akar atau pecahan, langkah pertama yang."
Posting Komentar untuk "Turunan Fungsi Akar : Soal Turunan Aljabar Kelas 11 / Konsep turunan fungsi secara universal atau menyeluruh banyak sekali dimanfaatkan di dalam untuk mencari turunan dari fungsi yang memuat bentuk akar atau pecahan, langkah pertama yang."